Arch. Med. Vet., Vol. XXXV, N° 1, 2003, pp. 81-88
COMUNICACIONES
Comparison of the anthelmintic effectiveness of six commercial products containing macrocylic lactones against bovine gastrointestinal nematodes
G. SIEVERS, M.V., Dr. med.vet., C. FUENTEALBA, M.V.
Instituto de Patología Animal, Facultad de Ciencias Veterinarias, Universidad Austral de Chile, Casilla 567, Valdivia, Chile.
The study was carried out from
April to July 2001 on a cattle farm located in the south of Chile (lat. 40°-
53'S, long. 70° - 44'O). Naturally infected bovine of 280 kg average body
weight were distributed in 7 groups (n = 12): control group (placebo), and
6 groups treated subcutaneously with 0.2 mg/kg of Ivermectin (3 groups with
different commercial products), Moxidectin, Abamectin and Doramectin. Individual
faecal samples were obtained from all animals 3 days prior to, on the treatment
day and then, weekly until the 77 days post-treatment (p.t.). Individual egg-counts
(epg), faecal egg reduction test and accumulative larvae cultures per group
were carried out.. The pasture contamination was determined on day's 0, 14,
56 and 77 p.t. Individual body weight on days -3 and 63 p.t. was recorded.
The results were analysed considering significant p < 0.05.
The control group presented mean egg counts fluctuating between 140 and 500
epg. The 6 treated groups showed a significant reduction of the epg until
day 42 p.t. In the groups treated with Moxidectin, Abamectin and Doramectin
there was a significant reduction up until days 63 and 77 p.t. Anthelminthic
resistance were found for all products, excepting Doramectin at day 21 p.t.
Persistence of effectiveness until 14, 28 and 35 days were found for the products
with Ivermectin, 42 days for Moxidectin and Abamectin and 49 days for Doramectin.
Until day 63 p.t., all treated animals weighed 15.1 kg more than the control
animals (p < 0.05). It was concluded that the products showed differences
in their effectiveness and persistence.
Key words: macrocyclic lactones, persistent activity, bovine nematodes.
El trabajo se realizó de abril
a julio del 2001 en un predio del Sur de Chile con 84 bovinos de aproximadamente
280 kg, infectados naturalmente, que se distribuyeron en 7 grupos de 12 animales:
Un grupo Control tratado con placebo y seis grupos tratados subcutáneamente
con 0.2 mg/kg de Ivermectina (3 productos comerciales diferentes), Moxidectina,
Abamectina y Doramectina. Materia fecal se obtuvo del recto de todos los animales
3 días antes, el día del tratamiento, y posteriormente cada semana hasta los
77 días post-tratamiento (p.t.). Recuentos de huevos (hpg) se realizaron a
cada muestra. Se realizó la prueba de reducción de la oviposición (FECRT)
para determinar resistencia antihelmíntica. Cultivos de larvas acumulativos
se realizaron a cada grupo en cada fecha de muestreo. Los días 0, 14, 56 y
77 p.t. se determinó el número de larvas por kg de pasto seco de los 4 potreros
utilizados. El peso vivo de los animales se obtuvo los días -3 y 63 p.t. Los
resultados se analizaron considerando significativo un p < 0.05.
El grupo control tuvo una oviposición
que fluctuó entre los 140 y 500 hpg. Los 6 grupos tratados presentaron una
reducción significativa de la oviposición hasta el día 42 p.t.; en los grupos
tratados con Moxidectina, Abamectina y Doramectina hubo reducción significativa
hasta los días 63 y 77 p.t. El día 21 p.t. se comprobó resistencia antihelmíntica
a todos los productos, exceptuando la Doramectina. Las Ivermectinas tuvieron
persistencia de efectividad de 14, 28 y 35 días, la Moxidectina y Abamectina
de 42 días y la Doramectina de 49 días. Al día 63 p.t., los animales tratados
pesaron, en promedio, 15. kg más que los animales del grupo control (p < 0.05).
Se concluye que los productos tuvieron efectividad y persistencia de efectividad
diferentes, pero que no se diferenciaron al analizar el rendimiento productivo.
Palabras claves: lactonas macrocíclicas, persistencia efectividad, nemátodos, bovinos.
En el Sur de Chile las gastroenteritis parasitarias agudas de los bovinos se producen durante el otoño y a fines de invierno. En otoño, la causa es el aumento del número de larvas en el pasto, favorecido por las lluvias y por la poca disponibilidad de forraje que obliga al ganado a comer en las cercanías de las deposiciones fecales. A fines de invierno, se debe a las larvas hipobióticas que prosiguen su desarrollo (Sievers, 1982). El control de dichas parasitosis clínicas se realiza mediante el uso de antiparasitarios. Actualmente, son las lactonas macrocíclicas los fármacos más usados y con mayor índice de comercialización; entre ellas la Ivermectina, Moxidectina, Abamectina y Doramectina. Todas actúan sobre el sistema nervioso central de los nemátodos maduros, inmaduros e hipobióticos del bovino, ácaros e insectos hematófagos, liberando excesivamente el ácido gamma amino butírico que produce parálisis flácida de su musculatura y finalmente su muerte (Barragry, 1994, Sumano y Ocampo, 1997).
En general, la efectividad antinematódica de las lactonas macrocíclicas puede considerarse como muy buena. Para la Ivermectina, Armour y col., (1980) describen un 100% sobre Ostertagia y Trichostrongylus y 98.6% sobre el género Cooperia; Entrocasso y col. (1996) y Anziani y col. (2001) mencionan 96% de efectividad; Vermunt y col. (1995) y Stafford y Coles (1999) indican efectividades algo menores. Para la Moxidectina, Eddi y col. (1993) señalan que controla O. ostertagi, T. axei, H. placei, Cooperia sp., N. radiatum, Trichuris discolor y D. viviparus. Para la Abamectina Entrocasso y col. (1996) y Barth y col. (1997) describen una eficacia del 95 y 99% contra Haemonchus, T. axei, Cooperia sp y O. ostertagi respectivamente. Para la Doramectina, Entrocasso y col. (1996) indican un 97% de efectividad y Houffschmitt y col. (1999) mencionan un 95% de efectividad contra Cooperia sp y O. ostertagi.
La gran cantidad de productos existentes en el mercado nacional que contienen lactonas macrocíclicas y sus diferentes precios de comercialización, hacen pensar que deben existir diferencias de calidad y también efectividades disímiles sobre la fauna parasitaria.
El trabajo se realizó desde el 27 de abril al 16 de julio del año 2001 en un predio dedicado a la producción bovina, ubicado en la comuna de Purranque, Xa Región, Chile (Lat. 40°-53'S, long. 70°- 44'O). Se utilizaron 84 vaquillas mestizas Hereford con Holstein-Fresian de alrededor de un año de edad, con un peso promedio inicial de 280 kg, infectadas naturalmente con parásitos gastrointestinales. Los animales se mantuvieron juntos pastoreando 4 potreros de diferentes tamaños (tabla 3) con una suplementación de heno ocasional. Tres días antes de realizar el tratamiento se pesaron y se distribuyeron aleatoriamente en 7 grupos (n = 12). Al azar se determinó el destino de cada grupo. Los animales del grupo Control fueron tratados con 5 ml de suero fisiológico como placebo. Los animales de los otros seis grupos fueron tratados, en forma respectiva, con 0.2 mg/ kg, aplicados subcutáneamente, con los siguientes productos: 1) Ivermectina 1: RANK LA®, Intervet Chile Ltda., Serie: 016/19. 2) Ivermectina 2: BAYMEC PR ®, Bayer de Chile S.A., Lote: 003/00. 3) Ivermectina 3: LATINA®, Animal Services Latina S.A., Serie: FO 77100. 4) Moxidectina: CYDECTIN®, Fort Dodge Saúde Animal Ltda., Lote: 001/00. 5) Abamectina: ABAMEC® Intervet Chile Ltda., Serie: AV 016/ 01. Doramectina: 6) DECTOMAX®, Pfizer de Chile, Lote: 004-54004.
Chile, Lote: 004-54004. De cada animal se obtuvo del recto materia fecal 3 días antes, el día del tratamiento y cada 7 días durante 11 semanas post-tratamiento (p.t.). A cada muestra se le realizó recuento de huevos por gramo de materia fecal (hpg) según la técnica descrita por Schmidt (1971), y se promediaron (media aritmética) los recuentos de cada grupo en cada fecha de muestreo. Con las muestras de todas las fechas de muestreo se realizó la prueba de reducción de la oviposición según Coles y col. (1992) para determinar presencia de resistencia antihelmíntica. En cada fecha de muestreo se realizaron dos cultivos acumulativos con todas las muestras de materia fecal de cada grupo según la técnica de Roberts y O'Sullivan (1950). Las larvas se diferenciaron según la clave de Bürger y Stoye (1968). En los cultivos se determinó: 1) ausencia de desarrollo (indicativo que el producto eliminado en la materia fecal no permite el desarrollo de los huevos presentes en las muestras), 2) desarrollo de pocas larvas (indica que algunos huevos tienen genes de resistencia antihelmíntica frente a los productos) y 3) desarrollo de muchas larvas (indica el término de la eliminación residual de los productos en la materia fecal, lo que permite el desarrollo óptimo de los huevos a larvas infectantes).
La cantidad de larvas por kilogramo de pasto seco (L/kg ps) se determinó cuando se concluía de pastorear un potrero, con el objeto de tener información sobre la presión de infección a que habían estado sometidos los animales; ello sucedió los días 0, 14, 56 y 77 del ensayo. Las muestras se obtuvieron y procesaron según la técnica desarrollada por Sievers (1973).
El peso corporal de los animales se determinó el día -3 y el día 63 p.t.. Los resultados obtenidos en los recuentos de huevos y las variaciones de peso corporal se analizaron con el programa EpiInfo 6.0, versión 6.04. Mediante el Test de Bartlett se determinó si los datos tenían una distribución normal y mediante la prueba inferencial paramétrica Test de Anova se analizaron los datos distribuidos normalmente. Los datos sin distribución normal se analizaron con la prueba inferencial de Kruskal-Wallis. Se consideró como significativo un p < 0.05.
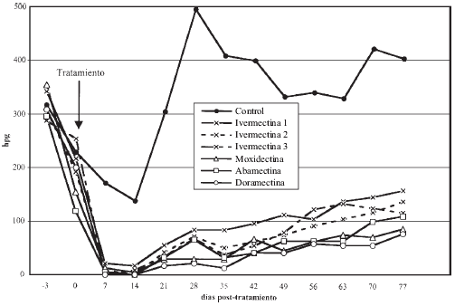
Las tendencias promedio de eliminaciones de huevos (hpg) de los 7 grupos de bovinos se exponen en el gráfico 1. Tres días antes y el día del tratamiento (días -3 y 0) no hubo diferencia entre los recuentos de los 7 grupos (p > 0.05). En el grupo control, los recuentos promedios fluctuaron entre los 138 y los 495 hpg. A partir del día 7 p.t. se diferenciaron significativamente (p < 0.05) del grupo control: el grupo tratado con Ivermectina 2 hasta el día 42 p.t.; los grupos tratados con Ivermectina 1 y 3 hasta el día 49 p.t.; Abamectina hasta el día 63 p.t. y Moxidectina y Doramectina hasta el día 77 p.t.. Los recuentos más bajos y la menor cantidad de animales positivos los presentaron los grupos Moxidectina y Doramectina.
Los días 7 y 14 p.t. todos los grupos tratados tuvieron una reducción de la oviposición superior al 90%. A partir del día 21 p.t. hubo reducciones inferiores al 90% en todos los grupos, menos en el grupo tratado con Doramectina que mantuvo una reducción superior al 90% hasta el día 35 p.t. (cuadro 1).

|
||||||||||||||||||||||
|
||||||||||||||||||||||
En todos los cultivos acumulativos de larvas (cuadro 2) realizados al grupo control hubo desarrollo de muchas larvas y se encontró, en promedio, 52% Ostertagia, 38% Cooperia y 10% Trichostrongylus. En los cultivos hubo ausencia de desarrollo de los huevos en los tres grupos tratados con las Ivermectinas hasta los días 7, 14 y 21 p.t, y en los grupos tratados con Moxidectina, Abamectina y Doramectina hasta los 28, 42 y 56 días p.t. respectivamente. Hubo desarrollo de pocas larvas en los cultivos de los grupos tratados con las Ivermectinas a los 14, 21 y 28 días p.t. y en los grupos Moxidectina, Abamectina y Doramectina a los 35, 49 y 63 días p.t. respectivamente. Desarrollo de muchas larvas se constató en los cultivos de los grupos tratados con Ivermectinas a los 42, 63 y 56 días p.t., en los grupos Moxidectina y Abamectina a los 70 días y Doramectina a los 77 días p.t. respectivamente. En los cultivos de los grupos tratados con Ivermectinas 1 y 2 y Moxidectina, hubo predominio del género Ostertagia, y en los grupos tratados con Ivermectina 3, Abamectina y Doramectina predominó el género Cooperia.

Tipo de desarrollo de larvas - = ausencia de desarrollo
|
El grupo de bovinos provenía de un potrero, de 8.3 ha., que tenía 690 L/kg ps, luego permanecieron dos semanas sobre un potrero, de 4.6 ha., con 346 L/kg ps, posteriormente debieron pastorear durante seis semanas el potrero, de 9.1 ha, que tenía 930 L/kg ps y, por último, pasaron al potrero 4, de 6.2 ha., con una carga de 258 L/ kg ps. En los potreros utilizados por los animales predominaron los géneros Ostertagia, Trichostronylus y Cooperia (cuadro 3).

Los bovinos del grupo control presentaron un incremento de peso de 5.4 gramos diarios (g/d) durante los 66 días que duró el ensayo. Los 6 grupos tratados tuvieron, en promedio, un incremento de peso de 29.1 g/d. El grupo control se diferenció (p < 0.05) de todos los grupos tratados y no hubo diferencia (p > 0.05) entre los grupos tratados.
La cantidad de larvas por kg de pasto seco (L/kg ps) de los potreros utilizados (cuadro 3) refleja la presión de infección parasitaria a la cual se vieron sometidos todos los animales durante el ensayo. La inicial disminución de la oviposición observada en el grupo control (gráfico 1) es explicable porque los animales provenían de un potrero con 690 L/kg ps y pasaron a pastorear, por disponibilidad de forraje, un potrero con 346 L/kg ps durante las dos primeras semanas del ensayo. Sobre 500 L/kg ps pueden causar una parasitosis clínica (Sievers y col., 1998), lo que se evidenció en varios animales del grupo control que presentaron diarrea, un aspecto general deteriorado y el menor crecimiento promedio, durante las seis semanas que debieron pastorear el potrero con el mayor número de larvas (930 L/kg ps). Ello también se reflejó en los recuentos de hpg promedio del grupo control, elevados para la época del año y la edad de los animales, si se comparan con los recuentos promedio, que no superaron los 60 hpg, observados por Winkler (1999), en animales de edad similar y en la misma época del año pero manejados extensivamente y con ausencia de signos de parasitosis clínica.
En todos los grupos tratados (gráfico 1) hubo una significativa reducción de la oviposición (p < 0.05), con relación al grupo control hasta el día 42 p.t.. Ello hace pensar en una buena efectividad de las lactonas macrocíclicas utilizadas frente a la fauna parasitaria existente en el predio. No hubo diferencia (p > 0.05) entre los recuentos de los tres grupos tratados con Ivermectina y tampoco hubo diferencia entre los grupos tratados con Moxidectina, Abamectina y Doramectina. Hubo diferencia (p < 0.05) en muchos de los muestreos posteriores al día 28 p.t. entre el grupo tratado con Doramectina y los grupos tratados con Ivermectina 1 y 2; Entrocasso y col. (1996) no observaron diferencia significativa entre grupos de bovinos tratados con Ivermectina, Moxidectina, Abamectina y Doramectina con una reducción significativa de la oviposición hasta el día 63 p.t. Por otro lado, Hawkins (1997) describe que el día 35 p.t. hay diferencia entre los recuentos de bovinos tratados con Moxidectina y aquellos tratados con Ivermectina, Abamectina y Doramectina.
Según el análisis de reducción de la oviposición (FECRT), propuesto por Coles y col. (1992), un porcentaje de reducción inferior al 90% es indicativo de resistencia antihelmíntica. Si se considera que el período prepatente de los nemátodos gastrointestinales es de alrededor de 3 semanas, al día 21 p.t. sólo el grupo tratado con Doramectina presentó un 93% de reducción de la oviposición. Esta situación refleja que hubo nemátodos que sobrevivieron al tratamiento y lograron oviponer, e indica presencia de cepas de nemátodos del bovino resistentes a las lactonas macrocíclicas en el predio (cuadro 1). Esta observación se ve reforzada por el desarrollo de pocas larvas infectantes en los cultivos de la mayor parte de los grupos tratados (cuadro 2). El desarrollo de esas pocas larvas es de importancia, porque son las portadoras de los genes de resistencia a los antiparasitarios en cuestión (Vermunt, 1995; Hejmadi y col., 2000). La evidencia de resistencia antihelmíntica de los nemátodos del bovino a las lactonas macrocíclicas, descrita por Vermunt y col. (1995), Stafford y Coles (1999) y Anziani y col. (2001), es novedosa en Chile. Sin embargo, es conveniente que dicha afirmación sea corroborada con el ensayo de desarrollo larvario (LDA) descrito por Craven y col. (1999).
Las diferencias observadas en la ausencia de desarrollo en los cultivos (cuadro 2) demuestran que los productos utilizados tenían una efectividad diferente sobre el desarrollo larvario en la materia fecal. Por otro lado, el período de persistencia de efectividad antihelmíntica de los productos, que impide las reinfecciones con parásitos, fue muy diferente según el producto utilizado. Si se considera que el período prepatente de la mayoría de los tricostrongilidos es de tres semanas, las Ivermectinas tuvieron persistencia antihelmíntica entre 2 y 5 semanas, la Moxidectina y la Abamectina de 6 semanas y la Doramectina de 7 semanas. Estos datos coinciden con lo descrito por Hawkins (1997) para la Moxidectina, Abamectina y Doramectina.
La distribución genérica de los parásitos presentes en los bovinos del grupo Control coincide con lo encontrado previamente en el Sur de Chile (Sievers y col., 1982). En los grupos tratados con las Ivermectinas 1 y 2 y Moxidectina el desarrollo proporcional de Ostertagia, Cooperia y Trichostrongylus fue semejante al observado en el grupo Control. Ello no coincide con Armour y col. (1980), que describen un 100% de eficacia para los estados larvarios y adultos de Ostertagia y Trichostrongylus, y un 98.6% para Cooperia, pero coincide con lo descrito por Hong y col. (1995) para la Moxidectina. En el grupo tratado con Ivermectina 3 hubo un leve predominio de Cooperia, tal como lo describen Entrocasso y col. (1996). En cambio, en los cultivos de los grupos tratados con Abamectina y Doramectina predominó Cooperia, lo que coincide con lo descrito por Rolfe y col. (1997) y Vercruysse y col. (1998).
La detección de resistencia antihelmíntica frente a las lactonas macrocíclicas en el Sur de Chile es de importancia, ya que el control de los parásitos gastrointestinales del bovino se realiza, casi en forma exclusiva, mediante la aplicación regular de antiparasitarios, y en especial, de lactonas macrocíclicas. La resistencia a las drogas, según Herd (1992), se desarrolla por el uso repetido y por la subdosificación de un antiparasitario o productos de un mismo grupo.
Para el productor pecuario el tratamiento antiparasitario durante el otoño con fármacos de larga acción impide mayores pérdidas y la diferencia observada en la ganancia de peso promedio (g/día) de los grupos tratados justifica el costo del tratamiento. Sin embargo, el bajo rendimiento productivo de los animales tratados en relación con el grupo control, de sólo 29.1 g/ día, y que no difirió significativamente entre ellos, indica que la aplicación de todos los productos fue beneficiosa. Por otro lado hay que mencionar que, además de la presión de infección parasitaria a la cual se vieron sometidos todos los animales, hubo un grave déficit de alimentación para satisfacer los requerimientos nutricionales.
En consideración a las diferencias de efectividad encontradas en los productos, es fundamental que el uso de antihelmínticos sea supervisado profesionalmente y que no sean sólo criterios comerciales los que determinan su aplicación (Lanusse, 1994).
Los resultados permiten concluir que: hubo diferencia de efectividad entre los productos utilizados, los productos tuvieron persistencia de efectividad antihelmíntica diferentes, siendo menor para las Ivermectinas y mayor para la Moxidectina, Abamectina y Doramectina, hubo evidencia de resistencia antihelmíntica frente a las lactonas macrocíclicas por parte de los nemátodos existentes en el predio.
Los autores agradecen al Sr. Marcelo Kaschel, a su familia y a su personal por permitir la realización del presente trabajo poniendo desinteresadamente a disposición los animales y toda la infraestructura de su predio.
ARMOUR, J., K. BAIRDEN, J. M. PRESTON. 1980. Anthelmintic efficiency of Ivermectin against naturally acquired bovine gastrointestinal nematodes. Vet. Rec. 107: 226-227.
ANZIANI, O. S., G. ZIMMERMANN, A. A. GUGLIELMONE, R. VAZQUEZ, V. SUAREZ. 2001. Avermectin resistance in Cooperia pectinata in cattle in Argentina. Vet. Rec. 149: 58-59.
BARRAGRY, T. A. 1994. Veterinary drug therapy. Lea and Febiger, London.
BARTH, D., G. F. ERICSSON, B. N. KUNKLE, S. REHBEIN, W. G. RYAN, D. H. WALLACE. 1997. Evaluation of the persistence of the effect of ivermectin and abamectin against gastrointestinal and pulmonary nematodes in cattle. Vet. Rec. 140: 278-279.
BÜRGER, H. J., M. STOYE. 1968. Parasitologische Diagnostik. (Teil II) Eizählung und Larvendifferenzierung. Therapogen Praxidienst.
COLES, G. C., C. BAUER, F. H. M. BORGSTEEDE, T. R. KLEI, M. A. TAYLOR, P. J. WALLER. 1992. World Association for the Advancement of Veterinary Parasitology (WAAVP) methods for detection of anthelmintic resistance in nematodes of veterinary importance. Vet. Parasitol. 44: 35-44.
CRAVEN, J., H. BJORN, E.H. BARNES, S.A. HENRIKSEN, P. NANSEN. 1999. A comparison of in vitro test and a faecal egg count reduction test in detecting anthelmintic resistance in horse strongyles. Vet. Parasitol. 85: 49-59.
EDDI, C., J. CARACOSTANTOGOLO, L. MARANGUNICH, M. BULMAN, M. MORLEY, R. AMBRÚSTOLO. 1993. Moxidectin: Persistance of activity against cattle nematodes in Argentina. Proc. of the WAAVP, Cambridge, 8-13 August 1993. pp.130.
ENTROCASSO, C., D. PARRA, D. VOTTERO, M. FARIAS, L. F. URIBE, W. G. RYAN. 1996. Comparison of the persistent activity of ivermectin, abamectin, doramectin and moxidectin in cattle. Vet. Rec. 138: 91-92.
HAWKINS, J. A. 1997. Comparison of the persistent activity of IVOMEC (Ivermectin) 1% injection and other macrocyclic lactone endectocides in cattle. Vet. Parasitol. 70: 219-224.
HEJMADI, M. V., S. JAGANNATHAN, N. S. DELANY, G. C. COLES, A. J. WOLSTENHOLME. 2000. L-Glutamate binding sites of parasitic nematodes: an association with ivermectin resistance? Vet. Parasitol. 120: 535-545.
HERD, R. P. 1992. choosing the optimal equine anthelmintic. Vet. Med. 87: 231-239
HONG, C., T. J. HARRIS, W. T. R. GRIMSHAW, K. M. NEWCOMB. 1995. Persistent activity of ivermectin topical and moxidectin injection against Ostertagia ostertagi and Dictyocaulus viviparus in calves. Vet. Rec. 137: 640-641.
HOUFFSCHMITT, P., P. MARTIN, B. CHICK. 1999. Persistence of the efficacy of a novel injectable ivermectin formulation and injectable doramectin against gastrointestinal nematodes in cattle. Vet. Rec. 144: 564-565
LANUSSE, C.E. 1994. Factores que afectan la biodisponibilidad plasmática y eficacia de fármacos antihelmínticos. Arch. Med. Vet. 26: 5-14.
ROBERTS, F., P. J. O'SULLIVAN. 1950. Methods for eggs counts and larval cultives for strongylus infesting the gastrointestinal tract of cattle. Austr. J. Agr. Res. 1: 99-102.
ROLFE, P. F., K. L. DAWSON, M. D. SOLL, G. K. NICHOLS, W. G. RYAN. 1997. Persistent efficacy of abamectin and doramectin against gastrointestinal nematodes of cattle. Austr. Vet. J. 75: 33-35.
SCHMIDT, U. 1971. Parasitologische Kotuntersuchung durch ein neues Verdünnungsver-fahren. Tierärztl. Umsch. 26: 229-230.
SIEVERS, G. 1973. Methode zur Gewinnung von III. Strongylidenlarven aus dem Weidegras. Tesis Doctorado. Tierärztliche Hochschule Hannover, Hannover, Alemania.
SIEVERS, G. 1982. Epizootiología de las trichostrongilidosis de los terneros en Chile. VIII Jornadas Médico Veterinarias. Valdivia, Chile, 93- 112.
SIEVERS, G., I. QUINTANA, F. CORTESE, S. ERNST. 1998. Variación anual de la ubicación de las larvas infectadas de tricostrongilidos del bovino sobre el pasto de un potrero en Valdivia, Chile. Arch. Med. Vet. 30: 47-54.
SUMANO L.H., C. L. OCAMPO. 1997. Farmacología Veterinaria. Editorial McGraw-Hill Interamericana. 2a edición. México, D.F.
STAFFORD, K., G. C. COLES. 1999. Nematode control practices and anthelmintic resistance in dairy calves in the south west of England. Vet. Rec. 144: 659-661.
VERMUNT, J. J., D. M. WEST, W. E. POMROY. 1995. Multiple resistance to ivermectin and oxfendazole in Cooperia species of cattle in New Zealand. Vet. Rec. 137: 43-45.
VERCRUYSSE, J., E. CLAEREBOUT, P. DORNY, D. DEMEULENAERE, J. AGNEESSENS, K. SMETS. 1998. Persistence of the efficacy of doramectin against Ostertagia ostertagi and Cooperia oncophora in cattle. Vet. Rec. 143: 443- 446.
WINKLER, M. 1999. Estudio sobre la eliminación de ooquistes, huevos y larvas de parásitos gastrointestinales y pulmonares en bovinos de carne en un predio de un valle cordillerano de la X región de Chile. Tesis, M. V., Universidad Austral de Chile, Facultad de Ciencias Veterinarias, Valdivia, Chile.
Aceptado: 14.05.2003.